来週のチャートポイント③NY編(訂正文)

月とスッポンさん
月とスッポンさん
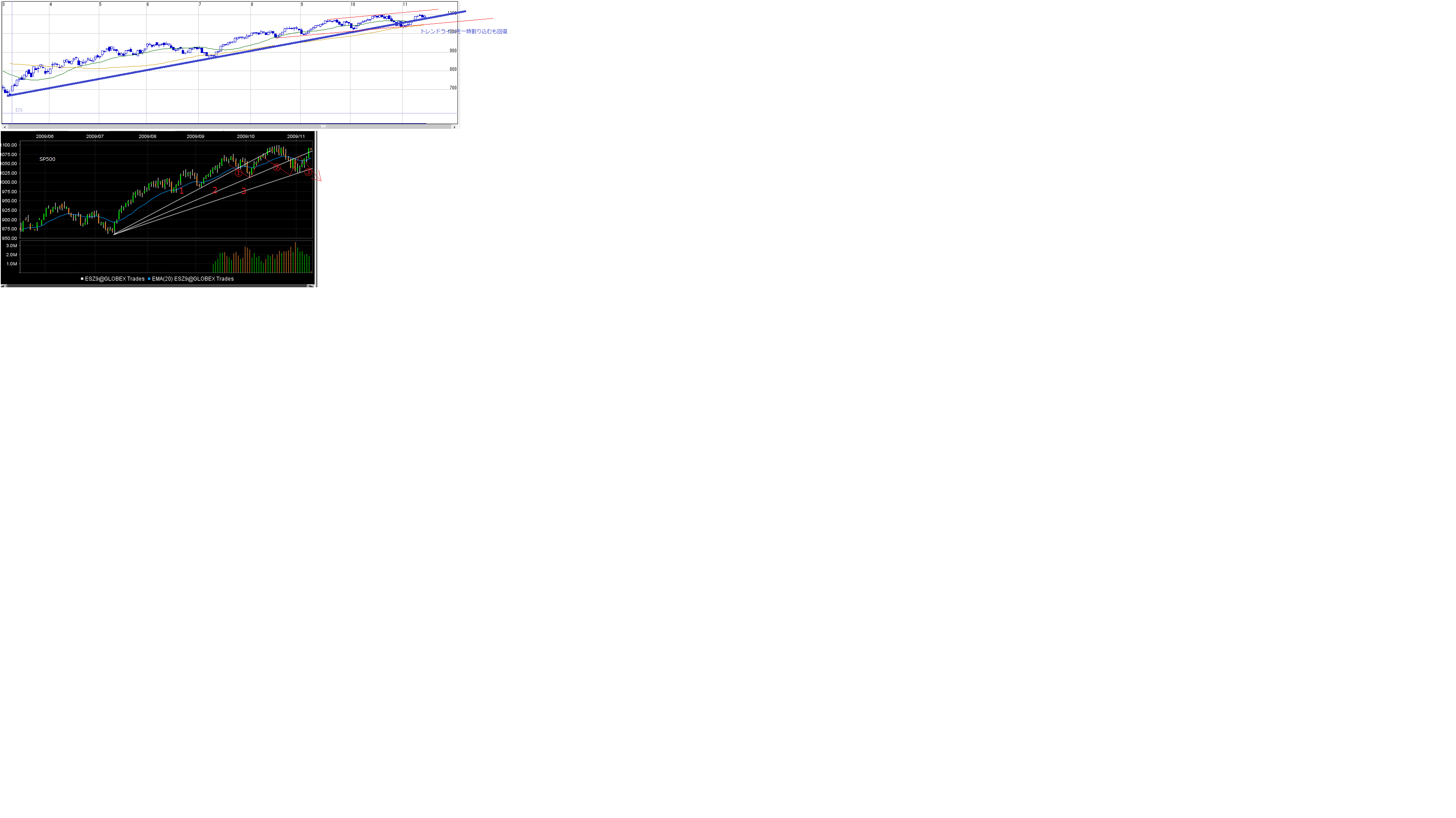
☆ダウトレンドライン(画像1)

・重要なのは赤ライン(特に太い赤ライン)と太い青ライン
・レンジも切り下げておらず強いといえる。

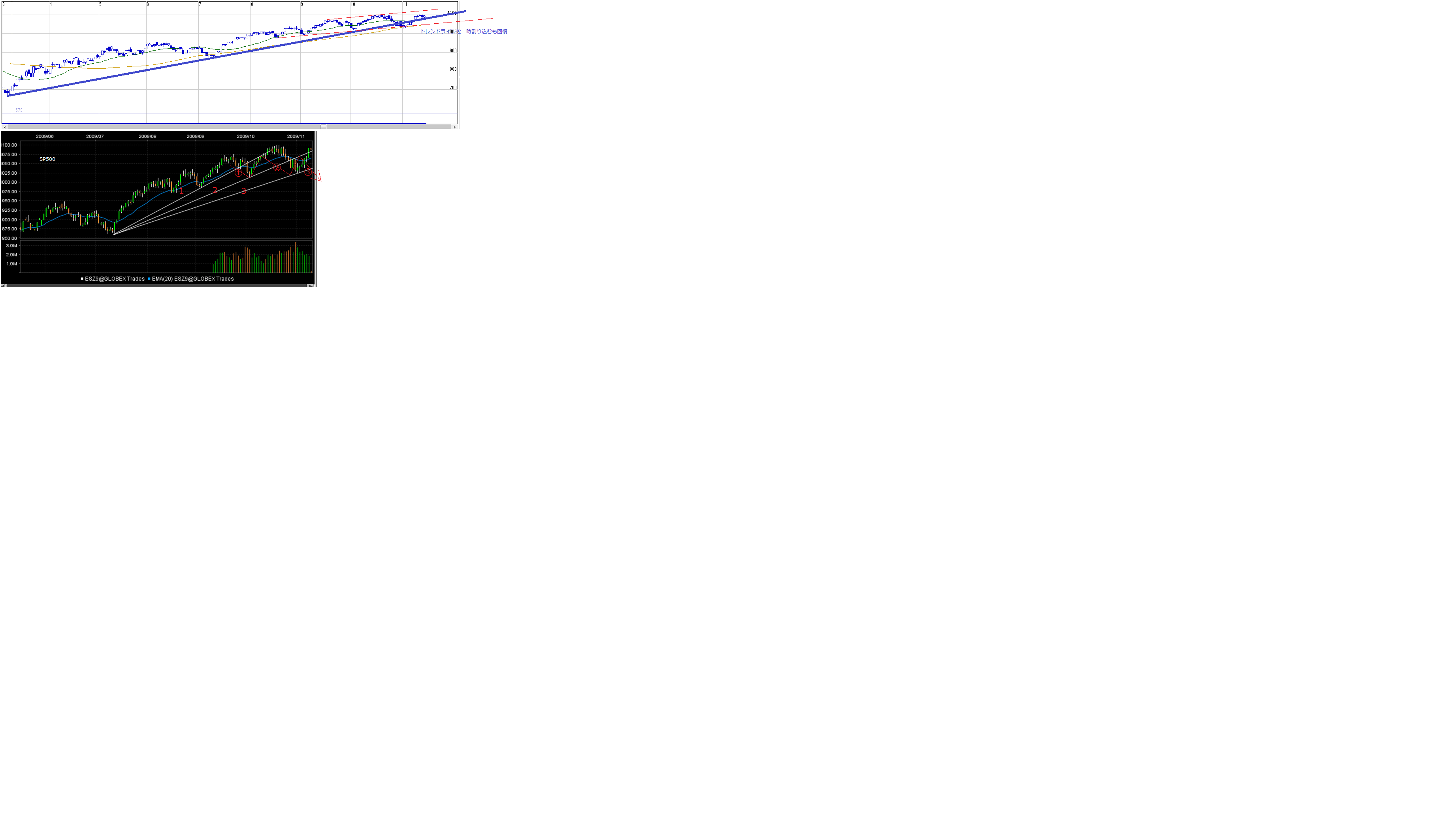
☆トレンドラインわれが心配されていたSP500もトレンドライン回復(画像2)

下図はファンライン

☆CMFとプットコールレシオの様子(画像3)

☆日経編はこちら☆

http://minkabu.jp/blog/show/188359
2件のコメントがあります
1~2件 / 全2件
ひよこさんこんばんわ☆

明日はなにはともあれUFJ相場でしょうかね~

メガバンが悪材料で尽くしであがるようならダウ無視のキャッチアップ相場がはじまってもおかしくないとは思うんですけど、、、

ただ、局地的な物色似終わってしまい、他のセクターからメガバンに流れて終わってしまうようだと弱いですね、、、(てか、ありえる、、、^^;)
(退会済み)
すっごく分かりやすいです♪
いつもありがとうございますー!!
月とスッポンさんのブログ一覧